JVIB Copyright 2009 American Foundation for the Blind. All rights reserved.
File created April 10, 2009. This is not the final version of record. The following article was published in the Journal of Visual Impairment & Blindness, December 2008, Volume 102, Number 12 (Print edition pages 747-760). The final version of record can be found at http://www.jvib.org.
JVIB - December 2008

Detecting Approaching Vehicles at Streets with No Traffic Control
Robert Wall Emerson and Dona Sauerburger


Abstract: This study assessed the ability of people with visual impairments to reliably detect oncoming traffic at crossing situations with no traffic control. In at least one condition, the participants could not hear vehicles to afford a safe crossing time when sound levels were as quiet as possible. Significant predictors of detection accounted for a third of the variation in the detection time.

This project was supported by Grant R01EY12894 from the National Eye Institute. The content of this article is solely the responsibility of the authors and does not necessarily represent the official views of the National Eye Institute or the National Institutes of Health.

For pedestrians with visual impairments (that is, those who are blind or have low vision), crossing a street where there is no traffic control can present a challenge. Crossing situations with no traffic controls include residential intersections where only one street has a stop sign, channelized right-turn lanes with no signal, midblock locations, and roundabouts. In these situations, pedestrians must cross either when drivers yield or in a gap in traffic. Because drivers often do not reliably yield to pedestrians, even those with white canes (Geruschat & Hassan, 2005; Guth, Ashmead, Long, Wall, & Ponchillia, 2005; Inman, Davis, & Sauerburger, 2005; Sauerburger, 2003), pedestrians often must cross in a gap in traffic. For a pedestrian to cross in a gap in traffic, gaps must exist that are long enough to allow time to cross, and the pedestrian must be able to recognize when these gaps exist (Sauerburger, 1999).

Pedestrians who are visually impaired use their hearing to detect approaching vehicles and gaps in traffic. Strategies for using hearing to cross streets with no traffic control were first developed in the late 1940s (Wiener & Siffermann, 1997). Early orientation and mobility (O&M) instructors used demonstrations to convince their students, veterans who were blind, that streets were clear to cross whenever the environment was quiet (Sauerburger, 1999). By measuring the time from when the veteran heard a vehicle approaching to when the vehicle arrived, they determined that all vehicles could be heard far enough away to know that it was clear to cross whenever it was quiet. For pedestrians who are blind, the strategy of "cross when quiet," for streets where there is no traffic control, continues to be used today (Allen, Courtney-Barbier, Griffith, Kern, & Shaw, 1997; Jacobson, 1993; LaGrow & Weessies, 1994; Pogrund et al., 1993).

In the traffic environment of the 1940s and 1950s, the strategy of "crossing when quiet" was probably effective, but decades later, Sauerburger (1989, 1995, 1999, 2006) and Snook-Hill and Sauerburger (1996) observed that there were situations in which, even when it was quiet, approaching vehicles could not be heard well enough to be detected with sufficient warning to know whether there was a gap in traffic that was long enough in which to cross. In the 1940s, the strategy of "crossing when quiet" was effective because vehicles were louder. Prior to 1972, the sound level of vehicles in the United States was commonly 90 decibels (dB) (Wiener & Lawson, 1997), but the U.S. Federal-Aid Highway Act of 1970 and the Noise Control Act of 1972 directed the Federal Highway Administration and the Environmental Protection Agency, respectively, to develop standards for mitigating highway traffic noise, and currently automobile manufacturers in the United States design cars to meet the European noise limit of 78 dBA (Federal Highway Administration, 1995). Because the dB scale is logarithmic, observers perceive a decrease of 10 dB as a halving of the sound level, so the sound of passenger cars was reduced to less than half of what it was before 1972. The trend toward quieter vehicles is expected to continue as hybrid and electric vehicles become more prevalent (Wiener, Naghshineh, Salisbury, & Rozema, 2006). The decrease in the general sound level of vehicles demands that the strategy of crossing when quiet be investigated again to establish its usefulness.

Sauerburger (2006) discussed strategies for teaching pedestrians who are blind how to recognize when it is not possible to hear or see the traffic sufficiently far enough away to know when it is clear to cross at streets with no traffic control. Scheffers and Myers (1995) also attempted to define parameters whereby people who are blind would be recommended not to cross streets independently with no traffic control. Their guidelines are that when there is "all quiet" (that is, no motor or "masking sounds" are present) or "all clear" (that is, motor or masking sounds are only in the distance), blind pedestrians with a good pace and judgment are able to cross without assistance only if all the following conditions are met: The traffic is "light" (0-10 vehicles per minute), the street is "narrow" (no more than one driving lane and one parking lane in each direction), the traffic speeds are "slow" (approximately 25 miles per hour, mph, or less), and there is good visibility (half a block or more, considering illumination, hills, winding roads, and obstruction of view from large vehicles). In addition to parameters that influence the safety of crossing when quiet, masking sounds will influence a pedestrian's ability to hear approaching traffic. For example, traffic noise at busy roundabouts can compromise the ability of a pedestrian to hear approaching traffic well enough to know that it is clear to cross a street (Wadhwa, 2003).

In view of concerns about the ability of pedestrians with visual impairments to rely on the strategy of crossing when quiet and about the effect of masking sounds, it would be helpful to study the factors that may affect the ability of individuals to hear approaching vehicles well enough to know there is a gap long enough in which to cross a street. The study presented here considered to what degree, if any, the auditory detection of approaching vehicles was affected by the level of ambient sound; the sound level and speed of approaching vehicles; and physical features of the environment, such as hills, bends in the road, trees, and obstacles. One goal of the study was to determine whether there are conditions in which it is not possible for a person with good hearing and an average walking speed to hear approaching vehicles with enough warning to know that it is clear to cross a street when it is quiet.

Methods

Participants

The participants (17 women and 6 men with visual impairments) ranged in age from 24 to 67 (M = 46.8). Nine had congenital vision loss, and 13 lost their vision at age 3 or older. The etiologies of their visual impairments included retinopathy of prematurity, glaucoma, retinal detachment, amaurosis, optic chiasm tumors, sarcoid growth, injury, retinitis pigmentosa, diabetic retinopathy, retinal blastoma, macular degeneration, and unknown. Five participants had more than light perception, but all wore blindfolds during the data collection.

The participants were recruited by the second author through contacts in Maryland and Virginia. Potential participants were informed that normal hearing was a requirement of the study, and they all had their hearing screened on their arrival at the testing site. A portable audiometer was used to assess the potential participants' hearing at 1,000, 2,000, 4,000, and 8,000 Hz. As long as a participant did not have a hearing loss greater than 20 dB at any of these frequency bands, it was determined that he or she had hearing in the normal range. One participant was eliminated because of hearing loss. All the participants were independent travelers who crossed streets often as part of their daily travel.

Procedures

We identified potential data collection sites in residential areas within the Silver Spring, Maryland, area. Each site had to be a street that a pedestrian would logically be expected to cross. For example, one site had a bus stop on one side of the street and an apartment complex on the other. Each site also had to have vehicles approaching at least 100 yards from the nearest traffic control device (such as a traffic light, stop sign, or yield sign) on the street being used to assess the detection of gaps in traffic. In addition, each site had to have an ambient noise level that was equal to or less than the average level of "quiet" for residential intersections in that area.

To determine this average level of quiet, sound-level readings of minimal residual ambient sound (levels of relative quiet) were taken at 12 sites in the residential study area in the suburbs of Silver Spring. Comparison sound levels were also taken in downtown Atlanta and residential and business areas in Annapolis, Maryland (areas that were representative of a large and a small city). Sound levels were taken in moderately busy traffic areas in the middle of the day. The average minimal residual sound level for "residential or urban collector" roadways in the area in which the study was conducted was 44 dBA (range 37 to 49.5), the average sound level was 49 dBA (range 45.5 to 53) in Annapolis, and the average sound level was 66 dBA (63.5 to 69) in Atlanta. Note that all sound-level measurements that were used in this study were A weighted (dBA), which means that the sound-pressure scale was adjusted to conform to the frequency response of the human ear. Thus, the measures more closely reflect the loudness that a human listener would experience.

Three sites were chosen that met the qualifications just discussed, reflected different environmental conditions, and conformed to the average residual sound level of less than 44 dBA. All three sites were on two-way roadways with one lane in each direction near a place where residential streets with no traffic control intersected with streets with stop signs.

We are looking to the left along a straight two-lane street with a curb and grass on both sides, houses on the right side and woods on the left.  A woman is sitting in a lawnchair on the grass about 4 feet from the left curb, facing the street. A few feet beside her is a grey board suspended on two poles.  The board is 8 feet wide, the top is 5 feet above the ground, the bottom is about 3 feet above the ground, so that the board is beside the woman's head and shoulders. Photo shows the same street looking to the right -- it is straight for about 2 block-lengths.  On the left is an entrance into a housing development, on the right are trees and grass. Site 1 was a T-shaped intersection, with each approach along the main street to the crossing point being straight and clear of obstructions for approximately 1,000 feet. On half the trials at this site, the experimenters blocked sound on one side of the participants with an 8-foot-wide and 5-foot-high barrier that simulated a parked vehicle blocking the sound of oncoming vehicles.

We are looking to the left along a two-lane street with curbs, grass and trees on both sides.  The road is going slightly downhill and curves gently to the left, disappearing about 100 feet away.  About 20 feet from us is the corner of another street.  A tripod about 2 feet high and some equipment lie on the grass. Photo shows the same street looking to the right.  It is lined with trees on both sides and houses on the left.  The road is going slightly uphill and disappears about 200 feet away. Site 2 was a 90-degree square intersection; approximately 150 feet to the right of the crossing point, the main street had a severe bend in the roadway, beyond which the approaching vehicles could not be seen, and approximately 100 feet to the left was a minor bend that was more gradual (approaching vehicles could be seen approximately 200 feet away).

We are looking to the left along a two-lane street with curb, grass and sidewalk on the left and thick trees on the other side of the sidewalk.  On the right side are thick trees starting at the edge of the street.  The road is going slightly downhill and curves gently to the left, disappearing behind the trees about 100 feet away. Photo shows the same street looking to the right.  We are standing on the corner of another street, and the main street continues slightly uphill and crests about 50 feet away and disappears down the other side of the hill. Site 3 was a T-shaped intersection with a steep hill that dropped away from the crossing point starting at approximately 50 feet to the right and a heavily treed area that obscured oncoming traffic beyond approximately 100 feet to the left.

Data were collected at crossing points where there was no traffic control on the street to be crossed but where a pedestrian could logically choose to make a crossing. The participants were not asked actually to cross the street. Two to three participants at a time sat one behind the other at the side of the road. The participant closest to the roadway was always approximately 2 feet back from the curb, and the other participants were 1 foot behind the person in front of them. The participants sat throughout the data collection to reduce their fatigue and maximize their concentration on the sound of approaching vehicles. Their task was to indicate, by raising their left or right hand, when they first heard a vehicle approaching from the left or the right. The participants used minimal hand movements to limit noise that might influence the other participants' decisions.

The participants remained at each data collection site for approximately 30 minutes of data collection. Breaks were taken whenever any participant indicated the need for a respite. Water, snacks, and pillows were provided to maximize the participants' comfort and focus on the task. The weather during all the data collection times was fair (sunny or partly cloudy) with no rain and no significant wind.

Data were collected by videotape. One experimenter remained with the participants to answer questions and ensure that all remained on task, while the other manned the equipment. A video camera was set up so that both the participants' hand movements and the presence of passing vehicles could be identified. Also in the frame of the camera was the readout for a Cel-490 sound-level meter (Casella) and a speed gun (Sports Radar). The sound-level meter continuously measured the sound level of the environment in dBA. The speed gun automatically activated when a vehicle came into its range from either approach (left or right). All the equipment was set up by the side of the road, facing the participants. To ensure that the presence of the equipment did not have a significant effect on the behavior of drivers, data on speed were collected at similar times of day, with only one person and the speed gun placed in a hidden location. No significant difference in speeds was noted.

The general sound level in each listening environment varied with a normal course of gusts of wind, traffic in the distance, people passing on the street, and other environmental factors, but loud masking noises like leaf blowers and lawnmowers were deemed to be too intrusive and so were not allowed to be a part of the data collection process. In the analyses, reference to "quiet" status in any environment refers to the point at which the ambient level of sound in that environment was as low as it was likely to get. Across the listening conditions, this level of sound generally corresponded to 42 dBA.

The issue of what is quiet can be complex. Presumably, it is quiet when the ambient sound level is low, and there are no extraneous sounds. However, the level of ambient sound varies during the day and between communities. In 1971, Wyle Laboratories recorded the sound levels during 24-hour periods in a variety of communities and observed a fairly constant lower level of sound that always remained when sounds such as vehicles, barking dogs, airplanes, trains, lawnmowers, and conversation, had died away. This residual noise level varied greatly between locations and during different times of the day. In cities, the daytime residual noise level ranged between 62 dBA and 69 dBA, and for urban or suburban residential areas, it ranged from 42 dBA to 56 dBA.

The ambient sound level in this experiment was consistent across days, times of day, and environments. If the ambient sound level dropped below 45 dBA, it was deemed to be quiet. This level of sound was experientially valid, since at these times all that was heard was perhaps a gentle rustling of leaves or a bird in the distance. Any noise at all would bring the ambient sound level above this point. As a check on this operational definition of "quiet," the experimenter who could not see the sound-level meter indicated with hand signals when she thought the ambient level of sound had reached the quiet point for that location (that is, the noise level had gotten as low as it could go). The experimenter's signals corresponded with a sound level reading of 42 dBA to 44 dBA for 97% of the trials.

Measures

Of primary interest in this study was how well the participants detected traffic using their hearing. Toward this end, the principal measure used in the analysis was the time from the first detection of an approaching vehicle to the time when the vehicle passed in front of the pedestrian. A secondary measure of "safety margin" was defined as the difference between the estimated crossing time and the time from when the vehicle was detected to when the vehicle arrived. We estimated the crossing time using the minimum standard road width for urban collectors. The width for a "residential or urban collector" roadway was used because these are situations in which a pedestrian may often be required to cross the street and where a moderate amount of traffic usually exists. All the sites used in the study satisfied the criteria for being an urban collector. The minimum standard width for urban collectors was 10 feet for each lane and 4 feet for each shoulder (American Association of State Highway and Transportation Officials, 2004). Thus, assuming a two-way road, the crossing distance used in this study was 28 feet. The time required to cross the roadway was therefore calculated to be 7 seconds, on the basis of a crossing speed of 4 feet per second, which is commonly used as the average walking speed of pedestrians crossing streets (LaPlante & Kaeser, 2004). If a safety margin was negative, the vehicle reached the crossing point before the participants would have completed the crossing if they had started to cross just before they heard the vehicle. If the safety margin was positive, the participants would have finished their crossing and stepped out of the roadway before the vehicle passed the crossing point. Any wider road widths would have the effect of decreasing any safety margins that were found.

Attempts were made to design the data collection so as to maximize the earliest possible detection of approaching vehicles and to be as conservative as possible in the ability to disprove the hypothesis that there are quiet situations in which it is not possible to hear vehicles far enough away to afford a safe crossing. More than one participant at a time indicated when they first heard a vehicle approaching, and the resulting analyses used only the first response given within each group of participants. Having more than one person respond to each oncoming vehicle controlled for momentary lapses in attention by one or two participants, but still allowed for the early detection of all vehicles. Having participants seated during the data collection reduced their fatigue and increased their concentration on the task. Finally, the calculation of safety margins, which involved an assumption of crossing time, used the minimum crossing distance for the type of roadway used in the study. Urban collector roadways, of the type used in this study, have a range of typical lane widths (American Association of State Highway and Transportation Officials, 2004). By using the smallest lane width, we obtained the most conservative safety margins. If, after designing the study to allow for the earliest detection of vehicles and the quickest crossing time, we still found instances in which the participants could not hear vehicles far enough away to afford a safe crossing, the results would be that much more meaningful.

Results

There were 6 environmental conditions under which the participants made detection decisions of approaching vehicles: a straight roadway with no obstacles "straight", a straight roadway with a baffle to obstruct the sound "baffle", a severe bend in the road, a minor bend in the road, a hill falling away from the participants, and a heavily treed approach. Only the first of a group of participants to respond to an oncoming vehicle was used as the detection time for that vehicle. Taking only these "first responders" into consideration, there were 805 detection trials across the 6 environmental conditions: 119 with the baffle, 290 on the straight roadway, 123 on the severe bend, 85 on the minor bend, 124 on the hill, and 64 from the treed approach.

Across all 805 trials, the detection time (the time from when the vehicle was detected to when the vehicle passed in front of the participants) ranged from 2 seconds to 35 seconds (M = 9.63, SD = 4.94, median = 9.00). Across all environmental conditions, the average safety margin was 2.63 seconds (SD = 4.94), and the median was 2.0 seconds. Safety margins ranged from -5 seconds to 28 seconds. A safety margin of -5 seconds meant that a vehicle would have arrived at the crossing point 5 seconds before the crossing was completed if the crossing had been started just before the person heard the vehicle.

Table 1: Detection times when listening in quiet
Click here for accessible description of table.


Listening conditions
Total trials
Range of detection time (in seconds)
Average (SD in parenthesis) detection time (in seconds)
Average (SD in parenthesis) safety margin (in seconds)
Median safety margin (in seconds)
Straight
144
7-35
13.79 (4.67)
6.79 (4.67)
6.00
Baffle
50
5-32
13.34 (5.73)
6.34 (5.73)
5.00
Severe bend
60
4-19
7.62 (3.11)
0.62 (3.11)
0.00
Minor bend
39
4-28
11.08 (4.93)
4.08 (4.93)
3.00
Hill
43
4-20
9.51 (3.56)
2.51 (3.56)
3.00
Treed approach
24
7-26
11.25 (4.40)
4.25 (4.40)
3.50

Across all 805 trials, the ambient sound level just before the next oncoming vehicle was detected ranged from 36 dBA to 60 dBA (M = 44.7, median = 44). Of the 805 trials, 360 had ambient sound levels that were considered quiet when the participants were listening for the next approaching vehicle. These trials represent the best possible listening condition. Table 1 shows the range and average detection times of approaching vehicles during times of quiet. The straight, unimpeded condition had no detections less than 7 seconds, whereas the severe bend and the hill had the lowest average detection times. Because of unequal variances across groups, it was not possible to conduct an overall analysis of variance. However, a Scheffe test comparing the detection times for each pair of conditions showed significant differences between the straight condition and both the severe bend and hill conditions, between the baffle condition and both the severe bend and hill conditions, and between the minor and severe bends.

As Table 1 shows, half the safety margins in the severe bend condition were 0 or less (the median safety margin was 0). This finding means that, in this condition, if the participants had started crossing just before they heard a vehicle, half the time they would not have been able to complete their crossing before the vehicle arrived at the crossing point. Note that this is true on the assumption that listening and crossing are performed under ideal listening conditions. It may be argued that a safety margin of 0 means that a person is relatively safe because he or she is finishing the crossing just as the next vehicle passes the crossing point. However, most pedestrians have a second or two of added crossing time to make the decision to cross and to begin the motion to cross. We argue that a safety margin of 0 often reflects the situation in which a pedestrian is still somewhat in the final lane of traffic when the next vehicle passes.

We considered that this effect may be the result of participants being influenced by the lingering effects of recently ceased masking sounds. Masking sounds, such as receding traffic, can elevate the threshold of detection for sounds that occur soon after the masking sound ends and it becomes quiet, a phenomenon known as forward masking (Elliott, 1971). After the cessation of a masking sound, the length of time needed to return to a normal threshold for detecting sounds is generally about 100 milliseconds. Median safety margins in trials for which a participant had at least 1 second of relative quiet before he or she detected an approaching vehicle showed the same pattern of results as in Table 1.

Having examined the possible effect of forward masking, we considered the possibility that long periods of quiet may have affected the participants' detection abilities because of the participants loss of focus on the task. We used only the straight condition to help isolate the effect of a longer period of quiet on detection ability. Looking at only those trials in the straight condition in which the ambient sound level had dropped to 44 dBA or less before the next vehicle was detected (n = 141), we found no correlation between how long the ambient environment had been quiet and the next detection time (R 2 = .0006).

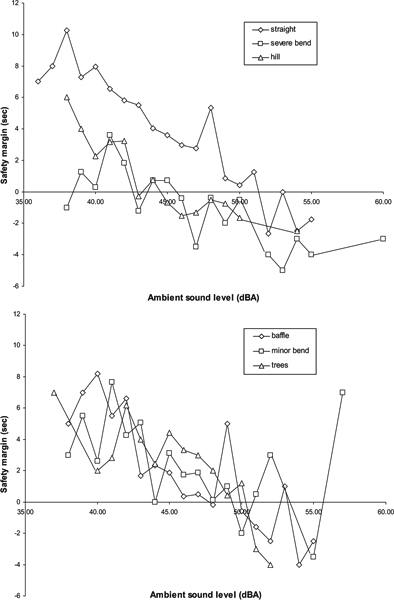
Figure 1: Average safety margin, by ambient sound level, in each condition
Click here for accessible description of figure.

The differences between environmental conditions are exemplified by looking at average safety margins for the ambient sound level in each environmental condition (see Figure 1). Two panels are used in the figure to reduce visual clutter for the reader. In the lower panel, the baffle, minor bend, and treed conditions show similar patterns of decreasing safety margins as the ambient sound level increases. At about 50 dBA, the average safety margin becomes low enough to cause concern about detectability. The upper panel shows that the average safety margin in the straight condition consistently remains positive up to about 52 dBA. However, detection at the severe bend and hill conditions degrades at much lower sound levels. The severe bend showed an average negative safety margin at 38 dBA, while the hill began showing negative average safety margins as low as 43 dBA.

Although environmental factors and how quiet the environment was before the approaching vehicle was detected seem to affect how well the participants were able to detect oncoming vehicles, how loud a vehicle was and how fast it was traveling may also play a role. We conducted a stepwise regression analysis on all 805 trials to determine which variables had the largest impact on the participants' ability to hear oncoming vehicles. Predictive factors that were entered into the regression analysis included environmental condition, vehicle speed, vehicle sound level, and ambient sound level before the vehicle was detected by the sound-level meter. Detection time was the outcome measure. The analysis indicated that the ambient sound level was the strongest predictor of detection time, followed by the environmental condition, the sound level of the passing vehicle, and the speed of the vehicle. These factors accounted for a third of the variability in the detection-time measure (R 2 = .34).

One may argue that the speed and sound level of the vehicle would be expected to be highly correlated with each other and therefore should not both be entered into the prediction equation. However, these two variables had a nonsignificant correlation coefficient of .41. Each contributed significantly to the ability of the participants to detect vehicles, but neither was as predictive as the ambient sound level or the environmental condition. These results included vehicles with sound levels ranging from 56 dBA to 89 dBA and speeds from 13 mph to 60 mph. The analysis shows that, as one would expect, the lower the ambient sound level, the better a person can hear approaching vehicles. Also, to some degree, vehicles that are louder or moving more slowly are detectable earlier. Analyses performed within each environmental condition showed the same sequence of predictor variables.
Figure 2: Correlation between ambient sound level
and detection time in the straight condition.
Click here for more details and description of figure.
We analyzed the effect of ambient sound level, vehicle sound level, and vehicle speed on detection time more closely. To do so, we used only the data from the straight roadway (without the baffle). This environmental condition had no obstructions to hearing in either direction and so allowed for a clear analysis of the relative effects of ambient sound level, vehicle sound level, and vehicle speed on the detection of oncoming vehicles. These 288 trials showed a strong negative relationship between ambient sound level and detection time (see Figure 2).

In trials on the straight roadway, as the ambient sound level increased, the detection times decreased. Once the ambient sound level is above approximately 50 dBA, it becomes virtually impossible to hear vehicles far enough away to know whether it is clear enough to be able to complete a crossing before the vehicles arrive.

Figure 3. Correlation of vehicle speed with detection time in the straight condition
Click here for more details and accessible description of figure.
Click here for a figure showing the correlation of vehicle sound level and detection time/safety margin.


In relation to the other factors, the sound level and speed of the approaching vehicles added little predictive value to the regression equation (R 2 = .000003 for sound level and .0316 for vehicle speed when correlated with detection time). This finding implies that in a good listening environment (that is, with no obstructions and a quiet environment), a person is able to hear most vehicles well, no matter what their specific characteristics. The slight upturn in the trend line at the lower vehicle speeds (see Figure 3) indicates that the slowest moving vehicles (less than 21 mph) may provide sufficient information for detectability. It may do so because no matter how noisy or quiet a vehicle is (given the current levels of vehicle sound output), if it is moving slowly enough, then pedestrians can hear it with enough warning to know there is time to get across the road if they start when it is quiet. However, it is important to note that the quietest vehicle on the straight roadway was 57.9 dBA [
click here for scatterplot], and only two vehicles in 288 trials were quieter than 60 dBA. Further study is needed to determine how the new generation of hybrid and quiet internal combustion vehicles will affect these results.


Discussion

The situations in which a pedestrian with a visual impairment is expected to cross without the advantage of a walk signal are increasing, especially in light of the increased construction of roundabout intersections. The traditional approach to crossing where there is no traffic control has been to cross when it is quiet. The findings of this study seem to support the importance of having as quiet an environment as possible. Even in ideal environmental conditions, the level of ambient noise does not have to increase by much to affect a pedestrian's ability to detect oncoming traffic. But this is too simplistic an approach to this kind of crossing situation. It is important for pedestrians who are blind and their O&M instructors to be aware that a pedestrian's ability to hear oncoming vehicles can vary significantly and, in some situations, can render the pedestrian unable to determine whether there is a gap long enough to cross the roadway, even when quiet.

As in Scheffers and Myers's (1995) guidelines, the findings of this study support the inclusion of many different parameters in addition to ambient sound level. The findings indicate that environmental features, such as bends and hills, can significantly affect a pedestrian's ability to hear vehicles well enough to make safe crossing judgments. However, environmental features and the other factors considered in this study accounted for only a third of the variation in detection times. This finding implies that observing the parameters considered in this study, such as the presence of hills and bends, ambient sound, and the speed and sound level of the vehicles, will not fully predict whether a given crossing situation will constitute a problem. It is imperative that O&M instructors teach pedestrians with visual impairments to analyze each situation on its own merits and not rely only on the presence or absence of the features considered in this study to evaluate whether a given street is crossable.

The results also support the development of a better understanding of what constitutes "quiet" and how ambient sound affects crossing decisions. In all the conditions but one, as the ambient sound level started to rise, the participants' ability to hear vehicles did not begin to deteriorate until the ambient sound level rose above 43 dBA. At the hill, however, starting with an ambient sound level as low as 38 dBA, a rise in the ambient sound level was correlated with a severe decline in the participants' ability to hear vehicles. That is, although some conditions led to better detection than others, in most conditions the level of detection did not substantially decline between ambient sound levels of 38 dBA and 43 dBA. At the hill, the ability to hear vehicles was much different at 43 dBA than it was at 38 dBA. Thus, in some conditions, the pedestrians' ability to detect approaching vehicles can tolerate slight increases in background sounds, but in other conditions, such as the hill, it is severely impeded by the slightest background noise. Pedestrians who are blind need to recognize situations in which a slight noise can significantly decrease their ability to hear approaching vehicles.

Recall that in this study we assumed a minimal standard crossing width for two traffic lanes with shoulders. Any wider crossing would not affect detection times, but it would affect safety margins. The patterns of safety margins shown in these data would only become worse with a wider crossing, especially at the hill and the severe bend. Another factor that may increase the effects found in the study is the increase of hybrid and other quieter vehicles on the roadways.

In the same way, a general increase in ambient sound level will have a concomitant decrease in detectability. The sampling of sound levels in different urban environments that was used to select the study location demonstrates how different environments can influence the need for different street-crossing strategies. A different strategy may be necessary when a pedestrian who is blind is traveling in the noisier environment of a larger city. In Annapolis, the average ambient sound level of 49 dBA puts it close to the level of background noise at which it would be difficult to hear an approaching vehicle with enough time to know if it is clear to cross. The roundabout in downtown Annapolis is a good example of a situation in which a pedestrian who is blind would be expected potentially to cross in front of moving traffic, without the aid of a walk signal and with buildings blocking both the sightlines and hearing lines of approaching traffic. The trends in our data indicate that at an ambient sound level of 66 dBA, as in downtown Atlanta, pedestrians would be unable to hear approaching vehicles more than about a second away. Thus, to avoid unacceptable risks, they would be forced to consider alternatives, such as traveling routes that rely on standard signalized intersections.

In conclusion, the traditional strategy of crossing when quiet remains effective in some situations, but not in others. Although the ability to hear approaching vehicles well enough to cross a street is affected by such conditions as ambient sound levels, the presence of certain environmental features like hills and bends, and traffic speeds, it is not possible to predict the ability to hear approaching vehicles by noting these features alone. Pedestrians who are blind need to be aware that before they can assume that it is clear to cross when quiet in a given situation, they must first observe their ability to hear the vehicles in that situation and determine whether they can hear well enough to know that it is clear to cross.

References

Allen, W., Courtney-Barbier, A., Griffith, A., Kern, T., & Shaw, C. (1997). Orientation and mobility teaching manual (2nd ed.). New York: CIL Publications.

American Association of State Highway and Transportation Officials. (2004). A policy on geometric design of highways and streets (5th ed.). Washington, DC: Author.

Elliott, L. L. (1971). Backward and forward masking. Audiology, 10(2), 65-76.

Federal Highway Administration. (1995). Highway traffic noise analysis and abatement policy and guidance. Washington, DC: Federal Highway Administration Office of Environment and Planning, Noise and Air Quality Branch. Retrieved June 29, 2008, from http://www.fhwa.dot.gov/environment/polguid.pdf

Geruschat, D. R., & Hassan, S. E. (2005). Driver behavior in yielding to sighted and blind pedestrians at roundabouts. Journal of Visual Impairment & Blindness, 99, 286-302.

Guth, D., Ashmead, D., Long, R., Wall, R., & Ponchillia, P. (2005). Blind and sighted pedestrians' judgments of gaps in traffic at roundabouts. Human Factors, 47, 314-331.

Inman, V. W., Davis, G. W., & Sauerburger, D. (2005). Roundabout access for visually impaired pedestrians: Evaluation of a yielding vehicle alerting system for double-lane roundabouts. In Roundabout Conference Proceedings: 2005, Vail, CO. Washington, DC: Transportation Research Board.

Jacobson, W. H. (1993). The art and science of teaching orientation and mobility to persons with visual impairments. New York: American Foundation for the Blind.

LaGrow, S., & Weessies, M. (1994). Orientation and mobility: Techniques for independence. Palmerston North, New Zealand: Dunmore Press.

LaPlante, J., & Kaeser, T. (2004). The continuing evolution of pedestrian walking speed assumptions. ITE Journal, 74(9), 43-40.

Pogrund, R., Healy, G., Jones, K., Levack, N., Martin-Curry, S., Martinez, C., Marz, J., Robertson-Smith, B., & Vrba, A. (1993). TAPS--An O&M curriculum for students with visual impairments. Austin: Texas School for the Blind and Visually Impaired.

Sauerburger, D. (1989). To cross or not to cross: Objective timing methods of assessing street crossings without traffic controls. RE:view, 21, 153-161.

Sauerburger, D. (1995). Safety awareness for crossing streets with no traffic control. Journal of Visual Impairment & Blindness, 89, 423-431.

Sauerburger, D. (1999). Developing criteria and judgment of safety for crossing streets with gaps in traffic. Journal of Visual Impairment & Blindness, 93, 447-450.

Sauerburger, D. (2003, March 25). Do drivers stop at unsignalized intersections for pedestrians who are blind? Paper presented at the Conference of Institute of Transportation Engineers, Fort Lauderdale, FL.

Sauerburger, D. (2006). Instructional strategies for teaching judgment in detecting gaps for crossing streets with no traffic controls. RE:view, 37, 177-188.

Scheffers, W., & Myers, L. (1995). Intersection analysis. In San Francisco State University orientation and mobility reader (pp. L5-L8). San Francisco: San Francisco State University Department of Special Education.

Snook-Hill, M. M., & Sauerburger, D. (1996). Teaching students to assess safety for crossing streets which have no traffic control. In Proceedings of International Mobility Conference VIII (pp. 535-540). Melhus, Norway: Tambartun National Resource Centre.

Wadhwa, L. C. (2003, January 16). Roundabouts and pedestrians with visual disabilities: How can we make them safer? Paper presented at the Transportation Research Board conference, Washington, DC.

Wiener, W. R., & Lawson, G. D. (1997). Audition for the traveler who is visually impaired. In R. Welsh, W. R. Wiener, & B. B. Blasch (Eds.), Foundations of orientation and mobility (2nd ed., pp. 104-169). New York: AFB Press.

Wiener, W., Naghshineh, K., Salisbury, B., & Rozema, J. (2006). The impact of hybrid vehicles on street crossings. RE:view, 38, 65-78.

Wiener, W. R., & Siffermann, E. (1997). The development of the profession of orientation and mobility. In R. Welsh, W. R. Wiener, & B. B. Blasch (Eds.), Foundations of orientation and mobility (2nd ed., pp. 553-579). New York: AFB Press.

Wyle Laboratories. (1971, December 31). Community noise. Washington, DC: U.S. Environmental Protection Agency, Office of Noise Abatement and Control. Retrieved June 2, 2008, from http://www.nonoise.org/epa/Roll14/roll14doc65.pdf


Robert Wall Emerson, Ph.D., associate professor, Department of Blindness and Low Vision, Western Michigan University, 1903 West Michigan Avenue, Kalamazoo, MI 49008.; email: robert.wall@wmich.edu
Dona Sauerburger, M.A., COMS, orientation and mobility specialist, 1606 Huntcliff Way, Gambrills, MD 21054; e-mail: Dona@Sauerburger.org.


Return to Self-Study Guide: Preparing Visually Impaired Students to Assess and Cross Streets with No Traffic Control
Return to home page